Autor prezentacji: dr inż. Marcin Kowalik
Na Seminarium wygłoszonym 19.05.2021 Pan Dr inż. Marcin Kowalik przedstawił zagadnienie wykorzystania sztucznej inteligencji przy opracowaniu wyników pomiarów zmiennoprądowej podatności nadprzewodników wysokotemperaturowych. Prezentacja obejmowała opis stosowanych przez Pana Doktora metod wyznaczania temperatury krytycznej przejścia materiału w stan nadprzewodzący oraz określenia magnetooporu. Pomiar podatności magnetycznej pozwala określić stopień wypychania pola magnetycznego przez próbkę nadprzewodzącą. Jednym z powodów wykorzystania sztucznej inteligencji do opracowywania danych jest chęć minimalizacji różnic wyznaczonych wartości wynikających z powtarzalności stosowanej metody pomiarowej oraz konieczność opracowania wyników na podstawie dużej liczby pomiarów. Metoda ta może być użyteczna także przy braku dostępu do nowoczesnej aparatury pomiarowej. Dr Kowalik przedstawił graficznie wyniki opracowane z użyciem tej metody dla różnych materiałów.
Na wstępie omówiona została zasadnicza idea wykorzystania odpowiedników sieci neuronowych do obróbki i wizualizacji wyników pomiaru. Zaprezentowano najważniejsze elementy struktury wzorowanej na układzie neuronów. Przedstawiono schemat budowy oraz zasadę działania i przekazywania informacji między neuronami. Zwrócono uwagę na istnienie odpowiedników liniowych funkcji aktywacji neuronu w układach elektronicznych. Omówiono proces uczenia sieci poprzez dobór mnożników sygnału (wag) tak by sieć zwracała pożądany wynik. Klasyfikacja wyników jest możliwa dzięki rozpoznawaniu cech charakterystycznych dla danego zbioru danych. Wśród działań wykonywanych nad funkcjami aktywacji można wymienić procedurę minimalizacji wymiaru, losowanie wag w celu uzyskania jak najmniejszego błędu na wyjściu oraz dopasowywanie funkcji czyli przewidywanie wyniku na podstawie zbioru danych wejściowych.
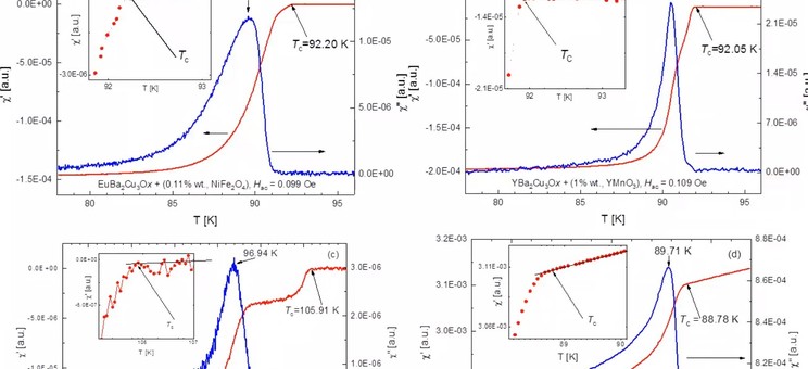
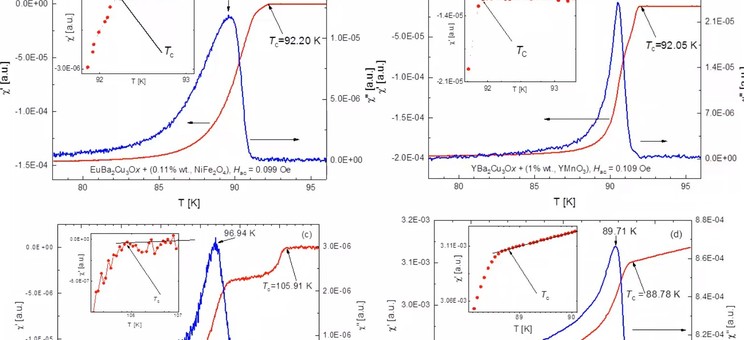
Podczas prezentacji omówione zostały metody pomiaru podatności magnetycznej w funkcji temperatury dla różnych materiałów. Wykorzystywane do pomiarów nadprzewodniki najczęściej miały postać taśm nadprzewodzących. Na wykresach przedstawiono wyniki pomiarów uzyskanych z użyciem omówionej metody obróbki danych. Otrzymane wartości wskazywały na wyraźny efekt zmian podatności magnetycznej w pobliżu temperatur krytycznych nadprzewodników wysokotemperaturowych. Zwrócono przy tym uwagę na rolę struktury krystalicznej i technologii otrzymywania materiału w przebiegu tych krzywych.
Za pomocą sieci neuronowych możliwe jest wyznaczenie temperatur krytycznych w sposób minimalizujący udział czynnika ludzkiego przy obróbce wyników. Wykorzystanie sieci zostaje tu podzielone na dwa zasadnicze etapy. W pierwszym etapie dochodzi do wstępnego wyznaczenia linii załamania na wykresie za pomocą kilkudziesięciu wybranych punktów. Następnie ma miejsce szacowanie temperatury krytycznej metodą regresji. W rezultacie sieć neuronowa pozwala wyznaczyć punkt załamania na wykresie temperatury nawet bez konieczności stosowania ścisłych programów obliczeniowych. Przedstawione metody porównawcze obliczeń i pomiarów doświadczalnych wykazują dużą zgodność.
Następnie omówiona została metoda klasteryzacji zbioru czyli poszukiwania grupy danych pomiarowych o podobnych cechach. Zwrócono uwagę na algorytm redukcji wymiarów zachowujący liczbę klastrów. Redukcja wymiarów danego zbioru cech może odbywać się na zasadzie tzw. worka słów czyli klasyfikacji podstawowych elementów charakterystycznych dla danego obiektu. Omówiono mechanizm uczenia sieci oraz optymalizacji danych uzyskiwanych za jej pomocą. Przedstawione zostały algorytmy wizualizacji danych, redukcji wymiarów wektorów, grupowania elementów oraz znajdowania środka ciężkości klastra punktów z wykorzystaniem metod iteracyjnych. Dzięki redukcji wymiarów zbiory punktów można przedstawić w postaci graficznej w trzech wymiarach.
Wyniki obliczeń wskazują na istotną rolę rodzaju badanego nadprzewodnika, a także wpływ jego wewnętrznej struktury na krzywe podatności magnetycznej. Ponadto metoda analizy oraz prezentowania wyników oparta na własnościach sieci neuronowych okazuje się skutecznym sposobem zwiększenia dokładności i użyteczności zbioru danych pomiarowych.




